Kompakte Niedrigleistungsgeräte wurden schon immer, vor allem bei Automobil- und bei intelligenten tragbaren Geräten, aufgrund der Nachfrage nach Hightechfunktionen in einem Paket bevorzugt.
Die Netzwerkkompatibilität der Leiterplattenantennen mit ihrer hohen Festigkeit macht sie außerdem robust und langlebig und daher werden sie in die meisten Unterhaltungselektronikgeräte eingebettet.
Hochfrequente Leiterplattenantennen ermöglichen es Geräten, über große Entfernungen zu kommunizieren, indem sie die elektrischen Signale in elektromagnetische Wellen umwandeln. Der Hauptvorteil von Leiterplattenantennen besteht darin, dass sie den physischen Platzbedarf und die Wartungskosten des Geräts reduzieren. Die Größe einer Antenne sollte kompakt und klein sein, und um die Effizienz zu erhöhen, werden mehrere Mikrostreifenteile miteinander verbunden, um den gewünschten Gewinn aus der kleinen Größe zu erhalten. Die Größe der Patches hängt direkt von der Wellenlänge der Betriebsfrequenz ab.
und erhalten Sie innerhalb von 10 Minuten ein Angebot für Ihr PCBA-Projekt
Leiterplattenantennen gibt es in verschiedenen Formen und Größen und ihre Entwicklung ist ein entscheidender Aspekt, da sie zahlreiche Anwendungen haben. Die Techniken für die Entwicklung einer Leiterplattenantenne enthalten jede Menge Parameter, die berücksichtigt werden sollten.
Es gibt verschiedene Arten von Leiterplattenantennen:
- Schleifenantenne
- Patchantenne
- Invertierte ‑F‑Antenne

Quelle Istockphoto
Das Antennendesign spielt eine entscheidende Rolle, um eine erfolgreiche Kommunikation mit Transceivern mit geringer Leistungsaufnahme und kurzer Reichweite in verschiedenen Systemen zu erreichen. Die Wellenlänge der Soll-Betriebsfrequenz wird zur Bestimmung der Patchgröße während des Designprozesses verwendet.

Gleichung 1: Berechnung von Breite und Länge
Aus der obigen Gleichung ergibt sich, dass W die Breite der Mikrostreifenpatchantenne, L die Länge der Mikrostreifenpatchantenne und ЄR die Dielektrizitätskonstante ist. Wenn die Frequenz und die Dielektrizitätskonstante des verwendeten Materials bekannt sind, kann die Berechnung für die Dimensionierung einer Mikrostreifenpatchantenne mit der obigen Formel durchgeführt werden. Falls die dielektrische Konstante des Materials nicht bekannt ist, müssen die Designer stattdessen die Geschwindigkeit der Ausbreitung des Signals angeben.
Berechnung der Antennenparameter

Abb. 1: Substratabmessungen
Quelle Emtalk
Der erste Schritt vor der Berechnung der Antennenparameter besteht darin, das Substratmaterial und die Länge und Breite des erforderlichen Materials zusammen mit der Betriebsfrequenz der Antenne auszuwählen. Die Leiterplatte sollte aus FR-4-Material bestehen, da sie über eine hohe Durchschlagfestigkeit und eine relative Durchlässigkeit von 4,4 verfügt.
Gleichung 2: Substrathöhe
Die obige Gleichung dient zur Bestimmung der Substrathöhe, wobei hₛ die Höhe des Substrats, f die Frequenz (GHz), c die Geschwindigkeit (m/s) und Єr die Dielektrizitätskonstante des Substrats ist. Die Substrathöhe ist einer der entscheidenden Aspekte bei der Antennenverbreiterung. Die Höhe des ausgewählten Substrats wird während des gesamten Entwurfs konstant gehalten. Wenn es sich um Materialien wie FR-4, Glasepoxid, Bakelit usw. handelt, wird die Höhe bei 1,5 mm gehalten.

Gleichung 3: Leiterbahnbreite
Die obige Gleichung dient zur Bestimmung der Leiterbahnbreite, wobei wₜ die Leiterbahnbreite ist. Signalspuren, Leistungsleiterbahnen und Impedanzleiterbahnen müssen sorgfältig entworfen und berechnet werden, da falsche Leiterbahnbreiten zu größeren Signalreflexionen führen können. Die minimale Spurweite sollte 6 mil oder 0, 152 mm betragen und bei höheren Toleranzen wird die Spurweite bei 10 – 12 mil oder 0,254 – 0,3 mm gehalten.
Gleichung 4: Leiterbahnlänge
Die obige Gleichung wird zur Bestimmung der Leiterbahnlänge verwendet, wobei Lₜ die Leiterbahnlänge, Σff die effektive Permittivität und ΔL die physikalische Länge ist. Der Leiterbahnwiderstand nimmt zu, wenn die Leiterbahn länger oder enger wird. Daher müssen Leiterbahnen mit höheren Strömen so kurz wie möglich gehalten werden.
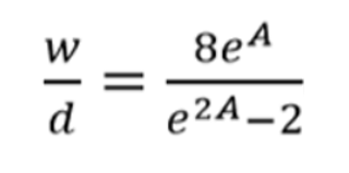
Gleichung 5: Verhältnis Breite zu Tiefe
Die obige Gleichung wird verwendet, um das Verhältnis von Breite und Tiefe des Mikrostreifens zu bestimmen, wobei d die Leiterbahnbreite, w die Substratbreite und a der effektive Bereich ist. Das ideale Verhältnis zwischen Breite und Tiefe des Mikrostreifens für ein Material mit 50 Ohm FR-4 liegt bei etwa 2:1.
Entwerfen der Antenne
Antennen reagieren sehr empfindlich auf ihre Umgebung, und wenn eine Antenne in eine Leiterplatte eingebettet wird, sollten daher das Design und die Anordnung entsprechend den Anforderungen berücksichtigt werden, da dies einen großen Einfluss auf die Leistung des drahtlosen Geräts haben kann. Selbst kleinste Details wie Material, Lagenanzahl, Lagendicke usw. können sich auf die Leistung der Antenne auswirken.
Wenn es um die Entwicklung einer Leiterplattenantenne geht, müssen verschiedene Schritte zum Verständnis unternommen werden. Einige davon sind:
1. Positionieren der Antenne
Antennen haben unterschiedliche Betriebsmodi und je nach Strahlungspegel einer Antenne gibt es bestimmte Positionen, an denen sie platziert werden müssen. Zum Beispiel entlang der kurzen Seite der Leiterplatte, der langen Seite der Leiterplatte oder in der Ecke der Leiterplatte. Idealerweise ist die Ecke der Leiterplatte eine der optimalen Stellen, um eine Antenne zu positionieren. Das liegt daran, dass die Eckposition einer Leiterplatte der Antenne einen Freiraum in bis zu fünf Raumrichtungen ermöglicht und die Zuführung zur Antenne in der sechsten Richtung erfolgt. Es gibt verschiedene Antennendesigns, die sich am besten für verschiedene Positionen eignen, daher können Leiterplattendesigner die Antenne entsprechend ihrer Anwendung und ihrem Layout auswählen.

Abb. 2: omnidirektionaler Abstand einer Antenne
Quelle Mwrf
Designer müssen unbedingt sicherstellen, dass die Komponenten nicht direkt um die Antenne im Nahfeld platziert werden dürfen, da dies zu Signalstörungen führen kann, welche die Leistung des Schaltkreises beeinträchtigen können. Außerdem sollte sichergestellt werden, dass der Bereich um die Antenne herum von metallischen Objekten einschließlich Befestigungsschrauben getrennt werden muss.

Abb. 3: Keep-Out-Bereich
Quelle: Proto-Electronics
Die Antenne strahlt gegen eine Erdebene aus und die Erdebene ist mit der Frequenz verbunden, mit der die Antenne arbeitet. Daher ist es ein Muss, die richtige Größe und den richtigen Abstand für die Erdebene der Antenne zu berücksichtigen.
3. Erdebenen
Die Größe der Erdebene auf einer Leiterplatte ist ein wichtiger Faktor, der berücksichtigt werden muss, da alle Drähte, die für die Kommunikation mit verschiedenen Geräten und Batterien verwendet werden, die Potenzial für das Gerät bieten, sich ändern können, wenn sie nicht richtig designt sind. Designer müssen sicherstellen, dass die Erdebenen richtig dimensioniert sind, da dadurch sichergestellt wird, dass Kabel und Batterien, die an das Gerät angeschlossen sind, weniger Einfluss auf die Antenne haben.

Abb. 4: Erdebene
Quelle Mwrf
Es gibt bestimmte Leiterplattenantennen, die von der Erdebene abhängig sind, was bedeutet, dass die Leiterplatte selbst zum Masseabschnitt der Antenne wird, um den Antennenstrom und die unteren Lagen der Leiterplatte auszugleichen, was die Leistung der Antenne beeinträchtigen kann. In solchen Fällen müssen Designer sicherstellen, dass sich keine Batterie in der Nähe der Antenne befindet.
Während dem Designen ist es wichtig, die integrierte Antenne in einem Abstand von anderen Schaltkreiskomponenten zu halten, welche die Antennenstrahlung beeinträchtigen können. Der Abstand zwischen der Antenne und anderen Komponenten variiert je nach Höhe und Breite der Komponente. Komponenten wie Batterien und LCDs, verschiedene Anschlüsse wie USB, HDMI, Ethernetkabel usw. haben hohe Schaltgeschwindigkeiten, welche die Wahrscheinlichkeit von Signalstörungen während des Betriebs des Geräts erhöhen.

Abb. 5: Nähe der Leiterplattenkomponente
Quelle Mwrf
Wenn beispielsweise eine Leitung in einem Winkel von acht Grad vom Antennenfuß gezogen wird, befindet sich die Komponente idealerweise in einem sicheren Abstand, wenn es unterhalb dieser Leitung positioniert wird, wie in Abb. 4 gezeigt. Wenn andere Antennen in der Nähe in ähnlichen Frequenzbereichen betrieben werden, können zwischen den Antennen Verstimmungseffekte auftreten, da sie sich gegenseitig auf die Strahlung auswirken. Um dies zu vermeiden, müssen Antennen für 1 GHz bei mindestens -10 dB und für 20 GHz bei mindestens -20 dB isoliert werden. Dies kann erreicht werden, indem der Abstand zwischen den Antennen vergrößert oder so gedreht wird, dass sie in einem Abstand von 90 Grad oder 180 Grad zueinander platziert werden.
5. Auslegung der Übertragungsleitung
Die HF-Kurve, welche die Hochfrequenzenergie in Leiterplattenantennen überträgt, die das Signal an den Empfänger liefern, ist die Übertragungsleitung einer Antenne. Die Übertragungsleitung muss mit 50 Ω ausgelegt sein, da es sonst möglich sein kann, dass sie Signale an den Empfänger zurückreflektiert und ein vermindertes Signal-Rausch-Verhältnis (SNR) verursacht, was zu Desensibilisierung im Funkempfänger führen kann.
Die HF-Kurve, welche die Hochfrequenzenergie in Leiterplattenantennen überträgt, um das Signal an den Empfänger zu senden, wird als Übertragungsleitung bezeichnet.

Abb. 6: Auslegung der Übertragungsleitung
Quelle Mwrf
Die Auslegung der Übertragungsleitung muss mit größter Sorgfalt erfolgen. Erstens muss die Übertragungsleitung gerade sein, denn wenn sich Ecken oder Kurven in der Leitung befinden, steigen die Verlustchancen. Um Rauschen und Signalverluste bei der Leistung der Antenne zu minimieren, müssen Durchkontaktierungen auf beiden Seiten der Leiterbahn platziert werden, da sie die Leistung erhöhen, indem sie Rauschen isolieren, das in den nahe gelegenen Leiterbahnen übertragen wird, wie in Abb. 6 gezeigt.
HF-Matching-Komponenten und die Breite der Übertragungsleitungen sollten zur Abstimmung der Antenne für den Betrieb bei einer charakteristischen Impedanz von 50 Ω verwendet werden. Die Abmessungen der Übertragungsleitung können die Signalleistung drastisch beeinträchtigen, da dünnere Übertragungsleitungen anfälliger für Verluste sein können. Andererseits sollten die Übertragungsleitungen so kurz wie möglich sein, damit die Antenne die Signalübertragung schneller und mit minimalen Verlusten besser durchführen kann.
Techniken zur Erzielung einer besseren Leistung

Abb. 7: Bessere Leistung erzielen
Quelle Istockphoto
Neben dem Design gibt es verschiedene Methoden, um die Effizienz zu verbessern und bessere Ergebnisse bei der Leistung von Leiterplattenantennen zu erzielen. Einige davon sind:
- Die Verwendung von passenden Netzwerken zur Abstimmung der Antenne gleicht Faktoren aus, welche die Leistung der Antenne beeinflussen können.
- Die gewählte Erdebene sollte angemessen sein, da es sonst zu Nebensprech zwischen den Signalen kommt und die Antenne in eine optimale Position, d. h., an die Kante der Leiterplatte, gebracht werden muss.
- Antennensignale können nicht durch Metall geleitet werden, daher sollte das externe Gehäuse der Antenne nicht verwendet werden, da dies zu Signalunterbrechungen führen kann.
- Die Leistung der Antenne in der Nähe von Kunststoffoberflächen kann die Leistung der Antenne verschlechtern. Kunststoff hat in der Regel eine höhere Dielektrizitätskonstante als Luft, die übertragene Signale kritisch beeinflusst, indem sie das HF-Signal dämpft und Verluste verursacht. Dadurch wird eine höhere Dielektrizitätskonstante registriert, die elektrische Länge der Antenne wird erhöht und die Frequenz, mit der die Antenne strahlt, wird verringert.
- Um Probleme mit der HF-Leistung zu vermeiden, wird die Verwendung von hochwertigen FR-4-Leiterplatten dringend empfohlen.
Fazit
Das Entwerfen einer Leiterplattenantenne ist ein komplizierter Prozess, da es verschiedene Faktoren gibt, welche die Leistung einer Antenne beeinflussen können. Der erste Schritt vor der Entwicklung einer Antenne besteht darin, ein Material (vorzugsweise FR-4) mit genauen Abmessungen auszuwählen. Leiterbahnen spielen auch eine wichtige Rolle, da die Übertragungsleitungen HF-Signale auf diesen Leiterbahnen übertragen. Die Leiterbahnbreiten müssen sorgfältig entworfen werden, da eine falsche Leiterbahnbreite zu Problemen wie einer größeren Signalreflexion führen kann. Wenn es um die Leiterbahnenlänge geht, erhöht sich der Widerstand einer Spur mit zunehmender Länge. Daher ist es ideal, Leiterbahnen mit höheren Strömen so kurz wie möglich zu gestalten.
Beim Entwurf einer Leiterplattenantenne muss die Positionierung der Leiterplatte so erfolgen, dass
die Antenne einen besseren Abstand zur Strahlung hat. Designer müssen bei der Platzierung von Komponenten in der Nähe des Antennenfeldbereichs vorsichtig vorgehen, da dadurch die Signalinterferenz erhöht wird.
Darüber hinaus müssen Komponenten wie LCDs, HDMI-Kabel usw. in einem Abstand von anderen Schaltungskomponenten gehalten werden, da sie eine höhere Schaltgeschwindigkeit haben, welche die Wahrscheinlichkeit von Signalstörungen erhöht. Das Design der Erdebenen muss entsprechend dimensioniert sein, da verschiedene Verbindungen, die von Drähten bis zu Batterien zur Antenne hergestellt werden, negative Auswirkungen auf die Ströme und unteren Lagen der Leiterplatte haben. Die Übertragungsleitungen müssen mit 50 Ω ausgelegt sein, um eine Signalverschlechterung zu vermeiden, und sie sollten auch gerade sein, ohne Kurven oder Ecken.
24.05.2022

